Lab 7: Kaplan–Meier estimate of the survival functions and Cox regression model

1 Reminder about data frames

1.1

Download hm.csv, store it in a variable df, and display the first rows of the dataset.

Code
df <- read.csv("hm.csv")
head(df)
  ID time age drug status    entdate    enddate
1  1    5  46    0      1 15/05/2015 14/10/2015
2  2    6  35    1      0 19/09/2014 20/03/2015
3  3    8  30    1      1 21/04/2016 20/12/2016
4  4    3  30    1      1 03/01/2016 04/04/2016
5  5   22  36    0      1 18/09/2014 19/07/2016
6  6    1  32    1      0 18/03/2016 17/04/2016

This data frame contains information about patients participating in a clinical trial.

  • time: duration of follow-up (in months)

  • age: age of the participant

  • drug: treatment indicator (0 = no drug, 1 = drug)

  • status: event indicator:

    • 1 = event of interest observed
    • 0 = censored observation

In this dataset, the event of interest is death related to the condition under study.

If a patient dies from an unrelated cause, or leaves the study early, the observation is censored: we only know that the patient survived at least up to that time.

1.2

Find the mean age of the participants.

Code
mean(df$age)
[1] 36.07

1.3

Find the number of observations (rows) in the dataset.

Code
length(df$age) 
[1] 100
Code
#or, better, 
# nrow(df)

2 Kaplan–Meier estimate

We use the package survival (you may need to install it, see Lab 2 on how to install a package).

library(survival)

To work with survival data, we first create a survival object using Surv():

sf <- Surv(df$time, df$status)
sf
  [1]  5   6+  8   3  22   1+  7   9   3  12   2+ 12   1  15  34   1   4  19+
 [19]  3+  2   2+  6  60+ 11   2+  5   4+  1  13   3   2   1  30   7   4   8 
 [37]  5  10   2   9  36   3   9   3  35   8  11  56+  2+  3  15   1  10   1 
 [55]  7   3   3   2  32   3  10+ 11   3   7   5  31   5  58   1   3+ 43   1 
 [73]  6  53  14   4  54   1   1   8   5   1   1   2   7+  1+ 10  24+  7  12+
 [91]  4  57   1  12+  7   1   5  60+  2+  1 

Censored observations are marked with a +. This means that the event was not observed at that time.

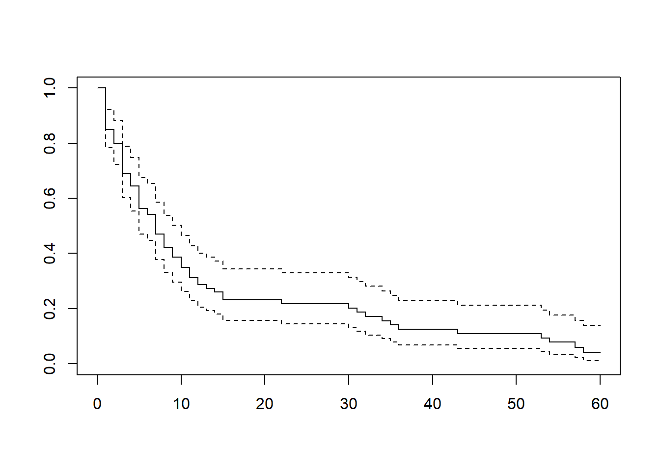
We now compute the Kaplan–Meier estimator:

km <- survfit(sf ~ 1)
km
Call: survfit(formula = sf ~ 1)

       n events median 0.95LCL 0.95UCL
[1,] 100     80      7       5      10

The formula ~ 1 means that we estimate a single survival curve for the whole sample, without using any covariates.

Plotting the estimator:

plot(km)

  • The solid line is the Kaplan–Meier estimate \(\hat{S}(t)\)

  • The dashed lines represent a \(95\)% confidence interval

    Roughly speaking, if we repeated the study many times, the true survival probabilities would lie within these bounds in about \(95\)% of cases.

  • To change the confidence level, we the paramter conf.int=value of function plot where value is a decimal between \(0\) and \(1\).

    Higher confidence level → wider interval.

  • Numerical values:

summary(km)
Call: survfit(formula = sf ~ 1)

 time n.risk n.event survival std.err lower 95% CI upper 95% CI
    1    100      15   0.8500  0.0357       0.7828        0.923
    2     83       5   0.7988  0.0402       0.7237        0.882
    3     73      10   0.6894  0.0473       0.6026        0.789
    4     61       4   0.6442  0.0493       0.5544        0.748
    5     56       7   0.5636  0.0517       0.4709        0.675
    6     49       2   0.5406  0.0521       0.4476        0.653
    7     46       6   0.4701  0.0526       0.3775        0.586
    8     39       4   0.4219  0.0525       0.3306        0.538
    9     35       3   0.3857  0.0520       0.2962        0.502
   10     32       3   0.3496  0.0511       0.2625        0.466
   11     28       3   0.3121  0.0500       0.2280        0.427
   12     25       2   0.2872  0.0490       0.2055        0.401
   13     21       1   0.2735  0.0486       0.1931        0.387
   14     20       1   0.2598  0.0480       0.1809        0.373
   15     19       2   0.2325  0.0467       0.1568        0.345
   22     16       1   0.2179  0.0460       0.1441        0.330
   30     14       1   0.2024  0.0453       0.1305        0.314
   31     13       1   0.1868  0.0444       0.1173        0.298
   32     12       1   0.1712  0.0433       0.1043        0.281
   34     11       1   0.1557  0.0421       0.0916        0.264
   35     10       1   0.1401  0.0407       0.0793        0.247
   36      9       1   0.1245  0.0390       0.0674        0.230
   43      8       1   0.1090  0.0371       0.0559        0.212
   53      7       1   0.0934  0.0349       0.0449        0.194
   54      6       1   0.0778  0.0324       0.0344        0.176
   57      4       1   0.0584  0.0296       0.0216        0.157
   58      3       1   0.0389  0.0253       0.0109        0.139
* `time`: event times

* `n.risk`: individuals at risk just before time

* `n.event`: number of events at that time

* `surv`: estimated survival probability
  • Recall that the Kaplan–Meier estimator is

    \[ \hat{S}(t) = \prod_{t_j \le t} \left(1 - \frac{d_j}{n_j}\right). \]

Extracting survival probabilities

Instead of reading values manually, we can query the model:

summary(km, times = c(13, 42))$surv
[1] 0.2734790 0.1245306

2.1

Compute the ratio \[ \frac{\hat{S}(17)}{\hat{S}(51)}. \]

Code
s <- summary(km, times = c(17, 51))$surv
s[1] / s[2]
[1] 2.133333

2.2

Find the estimated probability of the death in the next \(2\) years.

Code
# 2 years = 24 months
# Prob of death = 1 - survival probability
1- summary(km, times = 24)$surv
[1] 0.7820714

Median survival time

km
Call: survfit(formula = sf ~ 1)

       n events median 0.95LCL 0.95UCL
[1,] 100     80      7       5      10

The output includes the median survival time, i.e. the time when \(\hat{S}(t) = 0.5\).

3 Kaplan–Meier with covariates

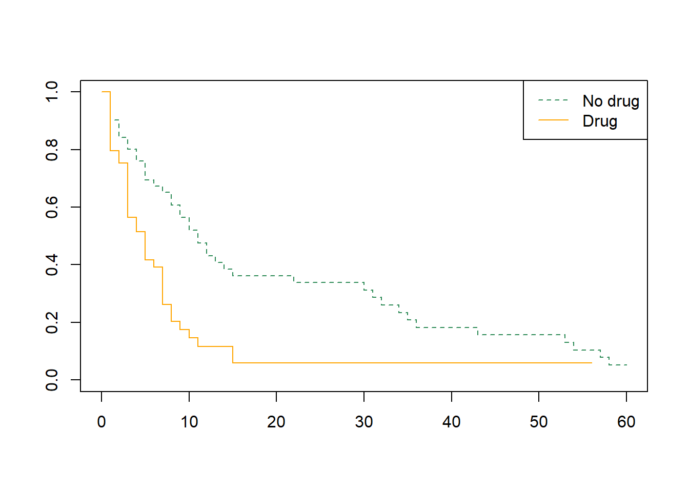
We now compare groups:

kmdrug <- survfit(sf ~ df$drug)
kmdrug
Call: survfit(formula = sf ~ df$drug)

           n events median 0.95LCL 0.95UCL
df$drug=0 51     42     11       8      30
df$drug=1 49     38      5       3       7
plot(kmdrug, col = c("blue", "red"))
legend("topright", legend = c("No drug", "Drug"),
       col = c("blue", "red"), lty = c(1,1))

3.1

Modify the plot so that:

  • “No drug” is dashed seagreen

  • “Drug” is solid orange

Code
plot(kmdrug, col = c("seagreen", "orange"), lty = c(2,1))
legend("topright", legend = c("No drug", "Drug"),
       col = c("seagreen", "orange"), lty = c(2,1))

Embedded data. The dataframe lung is embedded into survival package. You can get information about this data frame by typing in the console ?lung.

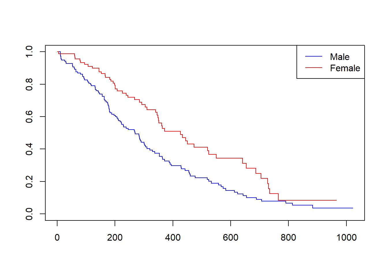
kmlung <- survfit(Surv(time, status == 2) ~ sex, data = lung)
kmlung
Call: survfit(formula = Surv(time, status == 2) ~ sex, data = lung)

        n events median 0.95LCL 0.95UCL
sex=1 138    112    270     212     310
sex=2  90     53    426     348     550

Here we explicitly define the event as status == 2 (death), which is clearer.

plot(kmlung, col = c("blue", "red"))
legend("topright", legend = c("Male", "Female"),
       col = c("blue", "red"), lty = c(1,1))

Surely, there are numerous R packages which can make plots more nice. For example, one can install and load survminer package:

library(survminer)
ggsurvplot(kmlung, conf.int = 0.95)

4 Cox regression model

The Cox model assumes:

\[ \lambda(t, z) = \lambda_0(t) e^{\beta z}. \]

It assumes proportional hazards, meaning hazard ratios do not depend on time.

One covariate case

fit <- coxph(Surv(time, status == 2) ~ sex, data = lung)
summary(fit)
Call:
coxph(formula = Surv(time, status == 2) ~ sex, data = lung)

  n= 228, number of events= 165 

       coef exp(coef) se(coef)      z Pr(>|z|)   
sex -0.5310    0.5880   0.1672 -3.176  0.00149 **
---
Signif. codes:  0 '***' 0.001 '**' 0.01 '*' 0.05 '.' 0.1 ' ' 1

    exp(coef) exp(-coef) lower .95 upper .95
sex     0.588      1.701    0.4237     0.816

Concordance= 0.579  (se = 0.021 )
Likelihood ratio test= 10.63  on 1 df,   p=0.001
Wald test            = 10.09  on 1 df,   p=0.001
Score (logrank) test = 10.33  on 1 df,   p=0.001
  • coef: estimate of \(\beta\)

  • exp(coef): hazard ratio

Interpretation:

If exp(coef) = 0.588, then females have about 0.588 times the hazard of males (i.e. about 41% lower hazard).

Multiple covariates case

fit2 <- coxph(Surv(time, status == 2) ~ sex + age, data = lung)
summary(fit2)
Call:
coxph(formula = Surv(time, status == 2) ~ sex + age, data = lung)

  n= 228, number of events= 165 

         coef exp(coef)  se(coef)      z Pr(>|z|)   
sex -0.513219  0.598566  0.167458 -3.065  0.00218 **
age  0.017045  1.017191  0.009223  1.848  0.06459 . 
---
Signif. codes:  0 '***' 0.001 '**' 0.01 '*' 0.05 '.' 0.1 ' ' 1

    exp(coef) exp(-coef) lower .95 upper .95
sex    0.5986     1.6707    0.4311    0.8311
age    1.0172     0.9831    0.9990    1.0357

Concordance= 0.603  (se = 0.025 )
Likelihood ratio test= 14.12  on 2 df,   p=9e-04
Wald test            = 13.47  on 2 df,   p=0.001
Score (logrank) test = 13.72  on 2 df,   p=0.001

For age:

b <- coef(fit2)
exp(b["age"])
     age 
1.017191 

This gives the multiplicative increase per year.

4.1

Compute the hazard ratio for:

  • a male aged 70

  • a female aged 80

Code
exp(b["sex"]*(1-2) + b["age"]*(70-80))
     sex 
1.408838 

Likelihood ratio test

A natural question is: when we used both age and gender covariates, we get different answers comparing with using eitehr of covariates alone. Does adding new covariates improve the model? More formally, let \(L_p\) be the likelihood function with \(p\in\mathbb{N}\) covariates and let \(L_{p+q}\) be the likelihood function with \(p+q\in\mathbb{N}\) covariates. How to estimate if \(q\) additional covariates were significant to add?

For this, one can use the statistical test. The test statistic is

\[ \lambda:= 2(l_{p+q}-l_p)=2(\ln L_{p+q}-\ln L_{p})=2\ln\frac{L_{p+q}}{L_p}>0, \]

where all functions are calculated at the points of their maximums. Note \(L_{p+q}>L_p\) because \(L_{p+q}\) is calculated at maximum over all possible \(p+q\) values, while \(L_p\) may be understood as the maximum of the function of \(p+q\) variables over the first \(p\) variables with fixed last \(q\) variables equal to \(0\):

\[ \beta_1 \cdot z_1+ \ldots +\beta_p \cdot z_p + 0\cdot z_{p+1} + \ldots + 0\cdot z_{p+q} =\beta_1 \cdot z_1+ \ldots +\beta_p \cdot z_p. \]

The \(H_0\) hypotehsis is then that \(\beta_{p+1}+\ldots+\beta_{p+q}=0\). The test is \(\chi^2\) test with \(q\) degrees of freedom:

fit1 <- coxph(Surv(time, status == 2) ~ sex, data = lung)
fit2 <- coxph(Surv(time, status == 2) ~ sex + age, data = lung)

anova(fit1, fit2, test = "LRT")
Analysis of Deviance Table
 Cox model: response is  Surv(time, status == 2)
 Model 1: ~ sex
 Model 2: ~ sex + age
   loglik  Chisq Df Pr(>|Chi|)  
1 -744.59                       
2 -742.85 3.4895  1    0.06176 .
---
Signif. codes:  0 '***' 0.001 '**' 0.01 '*' 0.05 '.' 0.1 ' ' 1

The number \(0.06176\) is the \(p\)-value. Hence, if we need the (standard) \(5\)% significance level, we do not regect the null hypothesis (as \(0.06176>0.05\)), so there is some evidence that age affects the hazard (after accounting for sex factor), but it is not strong enough at the \(5\)% level.

4.2

Check if sex affects the hazard here, at the \(5\)% level.

Code
fit3 <- coxph(Surv(time, status == 2) ~ age, data = lung)

anova(fit3, fit2, test = "LRT")

Check you answer: the \(p\)-value is \(0.001669<0.05\), hence, we reject the null hypothesis that sex does not affect the hazard, i.e. after accounting for age, sex does significantly improve the model.

Back to top